氣體分析已應用于各種場所和用途,例如測量汽車排放和監控煙氣排放。近年來,氣體分析的用途進一步擴大,已經開始研究通過呼吸分析實現疾病的早期檢測和診斷。濱松為光學氣體測量提供廣泛的光源和探測器。

一,光學氣體探測分析的特點
由于每個氣體分子都有自己的吸收波長,因此可以通過測量該波長處的吸光度來測量氣體的濃度。特別是在紅外區,由于氣體分子的振動,氣體特有的吸收波長較多,因此紅外區被用于測量各種氣體。如下圖:

例如下圖中所示,光照射到氣體,然后通過檢測透射或反射的光來監控吸光度。通過在考慮目標氣體及其周圍環境的光吸收特性的情況下選擇最佳裝置,光學方法可以實現比其他氣體測量方法更快的響應、更高的精度和更長的壽命。

二,為什么光學氣體探測分析更有優勢
1.高精度
光學氣體檢測受共存氣體和水蒸氣的影響較小,因為它檢測每種氣體的特定吸收波長。光學氣體探測還可以對多個探測目標進行同時探測,效率高。
2.快速響應
光傳感器本身具有更快的響應速度,使其適用于實時氣體監控。即使在較短的測量時間內,它也能對大量數據進行積分和平均,從而實現更高精度的測量。
3.更長使用壽命
光學氣體探測采用的是非接觸式檢測,有助于保持系統穩定,并減少傳感器本身的劣化。此外,可以減少維護頻率。因而具有更長的使用壽命。
三,光學氣體探測分析的技術路線
1.NDIR
NDIR,Non-Dispersive InfraRed,非分散紅外技術的簡稱。它利用氣體分子對特定波長紅外輻射的吸收特性來測定氣體的濃度。當紅外光源發出的紅外輻射經過一定濃度待測的氣體時,氣體分子會吸收特定波長的光,與氣體濃度成正比的光譜強度會發生變化,導致通過氣體的光譜強度發生變化。因此,通過測量這種變化,求出光譜光強的變化量就可以反演出待測氣體的濃度。
NDIR傳感器通常包括一個紅外LED光源、一個或多個光電二極管(PD)和一個氣室。紅外光源發出的光穿過氣室并被光電二極管檢測。光電二極管能夠轉換光信號為電信號,通過分析這些信號的衰減,可以計算出氣體的濃度。NDIR技術可以采用單通道或雙通道測量方案,其中雙通道方案提供了更好的測量結果和穩定性,因為它使用參考通道來補償與分析無關的信號影響。
單通道測量方案,即包含一個LED光源和一個光電二極管。該技術在大多數評價系統和傳感器模塊中都有應用,但是這種方法容易受到溫度變化的影響,可能會造成一定的測量誤差。

雙通道測量方案又可以分成三種,一種是1個 LED搭配2個PD的,一種是2個LED搭配1個PD的,還有一種2個LED搭配2個PD的。
1)1個 LED搭配2個PD:這個方案將包括一個額外的PD,除了單通道測量的LED和PD外,還有個額外的光電二極管檢測參考光路的信號,是為了做與分析無關的影響的信號的補償。測量PD提供了測量信號,對分析物質的存在和濃度非常敏感,而參考PD的信號幾乎不受影響。測量和參考信號的處理,即使在惡劣的溫度和環境條件下,也能獲得穩定可靠的測量結果,因為光電二極管對外界環境的反應是相同的。

該方案可采用兩種方法實現:a . 參考PD與測量PD擁有相同的靈敏度,并緊靠著LED發光口處,從而保證了在短光程時的信號衰減最小;b. 參考PD的敏感頻譜避開被測分析氣體的吸收頻譜頻譜,但可以對LED光譜有響應,因此該方案需要一個光譜范圍足夠寬的LED,使兩個不同光譜響應范圍的PD都能響應,這種方式需要讓參考PD緊靠測量PD。

2)2個LED搭配1個PD:這個方案將包括一個額外的LED,除了單通道測量的LED和PD外,還有個額外的LED發射參考光信號,測量LED所發出的輻射波長與分析氣體的吸收光譜相對應,而參考LED發射不被被測氣體吸收的波長的光,從而根據PD所檢測到的測量LED和參考LED之間的信號差來分析被測氣體的濃度。

3)2個LED搭配2個PD:這種方法與前一種方法類似,唯一不同的是引入了額外的光電二極管用于參考信號檢測,整個方案將包括2個獨立的通道,測量通道的光譜可被被測氣體吸收,參考通道的光譜不可被被測氣體吸收,通過雙通道檢測到的信號差別來分析被測氣體的濃度。

NDIR路線的優點包括允許設計低成本的解決方案,簡單和緊湊的傳感器設計以及提供可接受的結果。此外,NDIR路線不需要頻繁校準,這降低了維護成本和復雜性。
NDIR技術路線的產品推薦:
②中紅外 LED L1589X 系列
③InAsSb 光伏元件 P16112 系列及其他(配備帶通濾波器)
2.FTIR
傅里葉變換紅外光譜儀(Fourier Transform Infrared Spectrometer,簡寫為FTIR),不同于色散型紅外分光的原理,是基于對干涉后的紅外光進行傅里葉變換的原理而開發的紅外光譜儀,主要由紅外光源、光闌、干涉儀(分束器、動鏡、定鏡)、樣品室、檢測器以及各種紅外反射鏡、激光器、控制電路板和電源組成。可以對樣品進行定性和定量分析,廣泛應用于醫藥化工、地礦、石油、煤炭、環保、海關、寶石鑒定、刑偵鑒定等領域。
1)FTIR原理
待測樣品受到頻率連續變化的紅外光照射,分子基團吸收特征頻率的輻射,其振動或轉動運動引起偶極矩變化,產生分子的振動能級和轉動能級從基態到激發態的躍遷,形成的分子吸收光譜。
紅外吸收光譜主要用于材料的基團結構分析、材料的定性及定量分析:
①特征吸收頻率------基團(定性分析)
②特征峰的強度------定量分析
2)FTIR特點
①掃描速度快:傅里葉變換紅外光譜儀是按照全波段進行數據采集的,得到的光譜是對多次數據采集求平均后的結果,而且完成一次完整的數據采集只需要一至數秒,而色散型儀器則需要在任一瞬間只測試很窄的頻率范圍,一次完整的數據采集需要十分鐘至二十分鐘。
②信噪比高:傅里葉變換紅外光譜儀所用的光學元件少,沒有光柵或棱鏡分光器,降低了光的損耗,而且通過干涉進一步增加了光的信號,因此到達檢測器的輻射強度大,信噪比高。
③重現性好:傅里葉變換紅外光譜儀采用的傅里葉變換對光的信號進行處理,避免了電機驅動光柵分光時帶來的誤差,所以重現性比較好。
3)應用領域
① 已知物的鑒定
② 未知物的結構鑒定
③ 特殊材料的定量分析
FTIR技術路線的產品推薦:
①InAsSb 光伏元件P16112 系列及其他
3.TDLAS
TDLAS是Tunable Diode Laser Absorption Spectroscopy的簡稱,該技術主要是利用可調諧半導體激光器的窄線寬和波長隨注入電流改變的特性,通過調制激光器的波長,使激光器的波長掃描過被測氣體分子的吸收峰,從而基于比爾朗伯定律,使氣體分子對被調制的激光進行吸收,從而根據吸收量實現對氣體分子濃度的測量。

調諧半導體吸收光譜(TDLAS)技術系統組建示意圖
調諧半導體吸收光譜(TDLAS)技術驅動需要使用鋸齒電流掃描信號給到激光器,從而使激光器發出的激光的波長是調諧掃描的。驅動波形采用的是低頻鋸齒波疊加高頻正弦波的方式,三角波為掃描作用決定輸出強度,正弦波為調制作用。如下波形圖:

TDLAS驅動信號疊加理論圖和實測圖
經過氣體吸收之后,需要通過TDLAS信號解調板對光電二極管得到的光電信號進行解調,從而得到隨濃度變化的2f諧波信號。如下圖:

TDLAS解調信號理論圖

TDLAS解調信號實測圖

TDLAS解調信號實測圖
調諧半導體吸收光譜(TDLAS)技術主要應用于環境監測、工業過程控制、安防火災、汽車尾氣監測、生物和醫學研究等領域光譜檢測。
TDLAS技術路線的產品推薦:
①CW 量子級聯激光器L1200X 系列
③帶前置放大器的 InAsSb 光伏元件 P16702-011MN
④帶前置放大器的紅外檢測模塊 C1721X 系列
4.DOAS
DOAS(Differential Optical Absorption Spectroscopy)差分吸收光譜技術是一種通過測量微量氣體在紫外和可見光譜區域內對特定波段的吸收強度來演算得到微量氣體濃度的方法。
DOAS為一種被廣泛使用的確定大氣氣體濃度的方法。大氣中不同的氣體在光譜中留下它們各自特殊且特定的吸收痕跡,從中便可以檢索到這些氣體的濃度。而差分吸收光譜技術的本質就是氣體分子對光輻射的吸收。
1)DOAS的組成結構
DOAS 技術的氣體檢測可根據光源的不同分為被動式和主動式。 被動式的DOAS系統主要以來自太陽,月亮等星體的光為光源,而目前多數主動式的DOAS系統,以氘燈或氙燈作為光源。

我們主要討論主動式的DOAS儀器設備。DOAS系統主要包括:光源發射端、接收端、紫外氣體吸收池、光纜、單色儀、光譜儀、計算機等。
2)技術特點
DOAS技術與傳統的大氣測量技術相比,有著顯著的優勢和特點:
①DOAS技術的測量范圍長,可以檢測到幾百米甚至千米范圍內的氣體吸收,與點測試方法相比,小區域范圍內的干擾對目標氣體結果的準確性影響不大。并且其測量范圍廣,在揭示空氣尚未發現的成分方面有很大潛力。
②DOAS技術測量的是連續波段的光譜,在這段光譜范圍內,會存在不同氣體的特征吸收,實現同時監測多種氣體濃度。對于一些濃度極低的痕量氣體,如甲苯,單環等。
③DOAS技術是非接觸性測量方法,不破壞痕量氣體特征,不受水汽干擾,可避免檢測對象等誤差源的影響。
④DOAS 技術具有高靈敏度、高時間分辨率、且響應速度快,可實現在線實時監測。
3)測量原理與算法
DOAS技術廣泛應用于紫外和可見光區域范圍。一些氣體分子在紫外-可見波段內的吸收特性屬于頻率較高的吸收,俗稱窄帶吸收,而大氣或煙氣中的顆粒物引起的瑞利散射和米氏散射為寬帶吸收。DOAS技術正是將吸收光譜中窄帶部分和寬帶部分分離,以消除大氣分子散射的影響。

紫外-可見波段部分氣體吸收光譜
DOAS技術可以檢測到NO、NH3、O3、SO2、H2S、CIO2、NO2、C6H6等具有窄帶特征吸收的氣體分子。
在氣體環境中,瑞利散射和米氏散射也會導致消光散射。這兩種散射是大氣中主要的散射因素,因而造成光散射偏離。散射光不能被探測器接收到,但是這種沒有被探測器接收到的光,在DOAS技術處理過程中,可能被視為分子的“過程”。

氣體通道中的各種消光效應
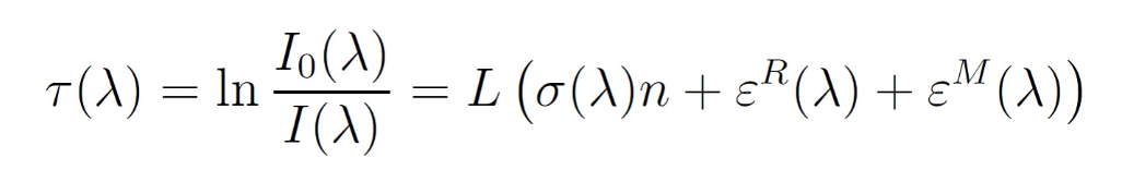
因此,在DOAS的算法過程中,這兩種散射所造成的消光會被加入到比爾朗伯定律的等式中, 從而得到以下等式:

其中τ被定義為光學厚度,即光程、氣體吸收截面和氣體濃度這三者的乘積。而 εR (λ)和 εM (λ) 則分別為瑞利散射和米氏散射的效果系數。
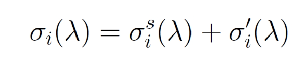
在差分吸收光譜方法的基本思路是: 由氣體分子吸收引起的光學厚度的變化是隨著波長變化而快速變化的,由瑞利散射和米氏散射引起的光學厚度的變化是隨著波長變化而緩慢變化的。因此,可以將分子引起的光譜快播變化部分稱為“窄帶”部分,對應于頻率中的高頻部分,將瑞利散射和米氏散射引起的光譜慢波變化部分稱為“寬帶”部分,對應于頻率中的低頻部分,采用高通濾波器可以將“窄帶”部分的光譜分離出來。氣體的標準吸收截面σi (λ)也分為兩部分:

其中:σi?(λ)為吸收截面寬帶光譜吸收部分,σi’(λ)為吸收截面中窄帶光譜吸收部分。

微分橫截面σ’是總橫截面σ與緩慢變化的σ?之間的差
結合上述兩個等式,即可分離出差分光學厚度,并與差分吸收截面進行擬合,測量出大氣中痕量氣體的濃度,并有效的消除瑞利散射和米氏散射的影響。DOAS技術的一項關鍵步驟是提取原始光譜中表示氣體特征吸收的快波變化部分。目前使用的快波變化和慢波變化分離的方法中, Savitzky-Gloay數字平滑多項式法是效果比較好的方法,它是一種基于多項式利用最小二乘法進行擬合的最佳擬合方法。
DOAS技術路線的產品推薦:
鄂公網安備 42011502001385號 鄂ICP備2021012849號